Leo AC centrifugalna pumpa 400V
Kod: AQC0001547Detaljan opis proizvoda
UPOTREBA pumpe AC 220
- za pumpanje čiste vode bez abrazivnih čestica
- pumpanje vode iz bunara i spremnika
- pogodno za sustave za navodnjavanje
- pogodno za povećanje tlaka tekuće vode
PREDNOSTI pumpe AC 220
- vrhunska kvaliteta i pouzdanost po odličnoj cijeni
- poseban antikorozivni tretman lijevanog željeza
Pumpa
- Poseban antikorozivni tretman lijevanog željeza
- Rotor od AISI 304
- Osovina izrađena od nehrđajućeg čelika AISI 304
Motor
- napon 400V, 50Hz
- bakreni namotaji
- ugrađena toplinska zaštita
- klasa izolacije: F
- stupanj zaštite: IPX4
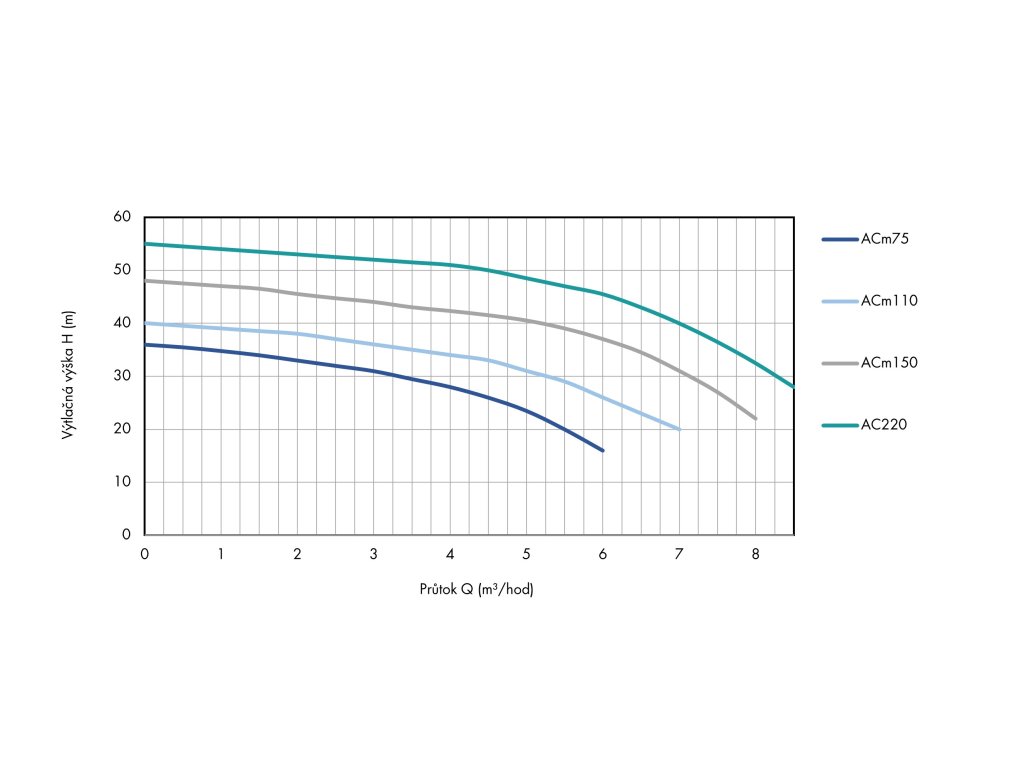
| Maksimalni protok | 150 l/min |
| Maksimalni potisak | 55 m |
| Ulazni napon | 3x400 V |
| Nazivna snaga motora - P2 | 2,2 kW |
| Usisni priključak | 5/4 |
| Nazivna ulazna snaga motora - P1 | 3 kW |
| Ispusni priključak | 1 |
| Maks. visina usisa | 8 m |
| Atest za pitku vodu | ne |
| Maksimalna struja | 5,5 A |
| Maks. temperatura medija | 60°C |
| Stupanj zaštite | X4 IP |
| Automatska toplinska zaštita | da |
| Zaštita od rada na suho | ne |
| Vlastiti prekidač | ne |
| Regulacija brzine | ne |
| Kondenzator | ne |
| Izvedba pumpe | horizontalna |
| Materijal rotora | nehrđajući čelik |
| Konstrukcija | monoblok |
Dodatni parametri
| Kategorija: | Površinska pumpa |
|---|---|
| EAN: | 8596455021179 |
| Prema upotrebi: | Površinska pumpa |
Ocjena proizvoda
Budite prvi koji će objaviti članak na ovoj stavci!
Rasprava
Budite prvi koji će objaviti članak na ovoj stavci!
