PUMPA blue line 4SPM potopna pumpa
Kod: 3489Detaljan opis proizvoda
Upotreba pumpe PUMPA blue line 4SPM
- Pumpanje čiste vode iz bušotine i bunara (s rashladnim plaštem)
- Navodnjavanje, opskrba kućanstava
- Pumpa se može koristiti samostalno, kao i s tlačnom posudom kao kućni hidrofor
Tehnički parametri
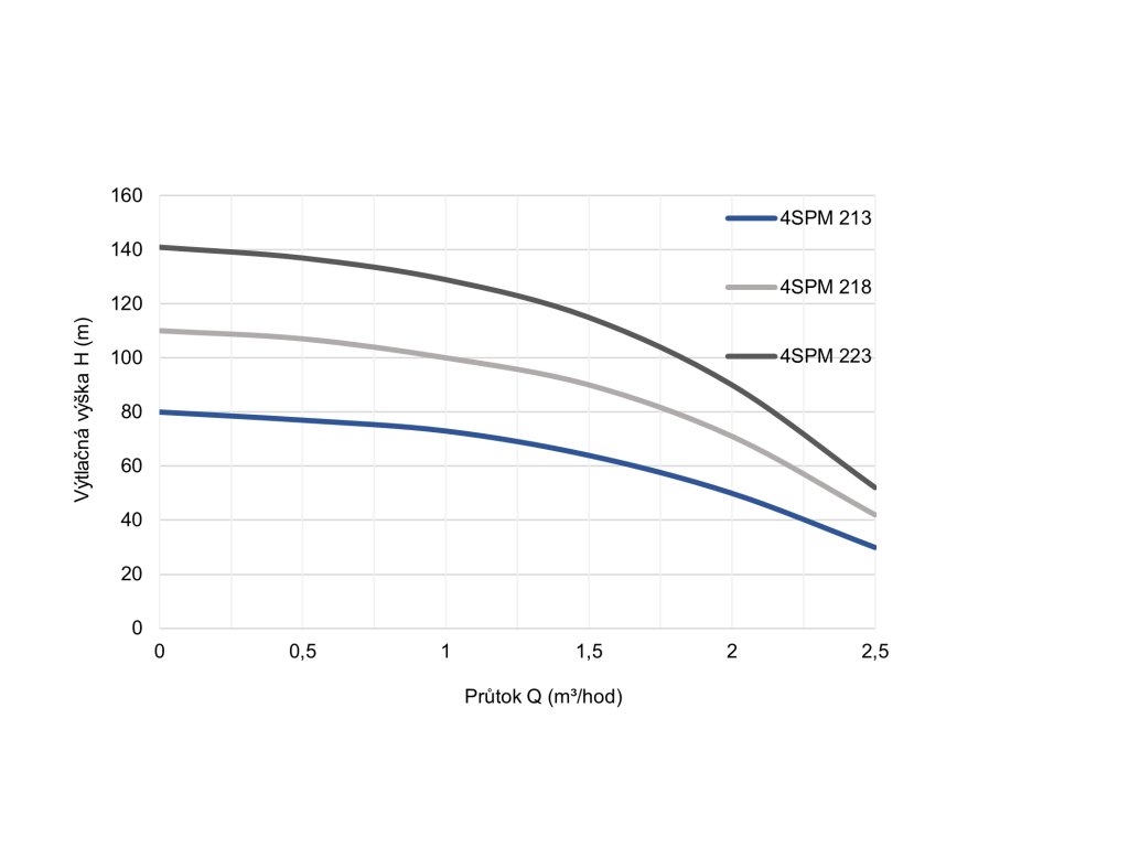
| Model | blue line 4SPM 213 |
blue line 4SPM 218 |
blue line 4SPM 223 |
| Maksimalni protok (m3/sat) | 2,7 | 2,7 | 2,7 |
| Maksimalni potisak (m) | 80 | 110 | 141 |
| Promjer pumpe | 4" | 4" | 4" |
| Napon/frekvencija (V/Hz) | 230/50 | 230/50 | 230/50 |
| Nazivna snaga motora (W) | 550 | 750 | 1100 |
| Priključak | 1 ¼" | 1 ¼" | 1 ¼" |
| Maksimalna dubina urona (m) | 40 | 40 | 40 |
| Maksimalna temperatura tekućine (°C) | 35 | 35 | 35 |
| Duljina kabela (m) | 30 | 40 | 50 |
| Klasa izolacije | B | B | B |
| Stupanj zaštite | 68 IP | 68 IP | 68 IP |
| Težina (kg) | 16,3 | 20,5 | 26,1 |
| Dimenzija/duljina pumpe (mm) | 770 | 895 | 1045 |
| Atest za pitku vodu | ne | ||
| Plovak | ne | ||
| Automatska toplinska zaštita | da | ||
| Zaštita od rada na suho | ne | ||
| Vlastiti prekidač | da | ||
| Regulacija okretaja | ne | ||
| Kondenzator | vanjski | ||
| Materijal rotora | nehrđajući čelik | ||
| Konstrukcija | centrifugalna | ||
| Nepovratni ventil | da | ||
Ocjena proizvoda
Budite prvi koji će objaviti članak na ovoj stavci!
Rasprava
Budite prvi koji će objaviti članak na ovoj stavci!
